word 自带公式编辑器中公式等号对齐方法
注意:这种方法只能对带括号的公式有用,比如下面的括号;且行数是根据 Enter 换行自动填补的,不是矩阵设定的 !
我们在写论文时经常遇到公式不对齐问题,影响美观,下面详细介绍一下 word 自带公式编辑器中公式等号对齐方法
形如下公式:

我们可以看到公式没有对齐,此时
第一步:全选公式,右击,选择,线性

得到如下结果

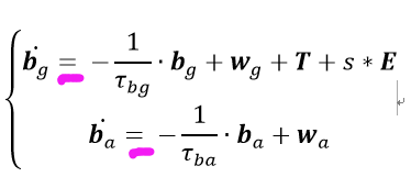
第二步:在每个 等号= 前打入 & 符号,

第三步:然后全选,右击,选择专业型。

结果如下:

我们在写论文时经常遇到公式不对齐问题,影响美观,下面详细介绍一下 word 自带公式编辑器中公式等号对齐方法
形如下公式:

我们可以看到公式没有对齐,此时

得到如下结果



结果如下:
